Math Class 10 Rd Sharma
math

Math Class 10 Rd Sharma

Math Class 10 Rd Sharma, Indeed recently has been hunted by consumers around us, perhaps one of you personally. People now are accustomed to using the internet in gadgets to view video and image information for inspiration, and according to the name of this article I will discuss about

If the posting of this site is beneficial to our suport by spreading article posts of this site to social media marketing accounts which you have such as for example Facebook, Instagram and others or can also bookmark this blog page.

Rd Sharma Solutions For Class 10 Chapter 2 Polynomials Get Pdf What Is Mathematics Pdf Download

Rd Sharma Class 10 Solutions Chapter 10 Circles Ex 10 2 Q17 Learn Cbse What Is Mathematics Pdf Download

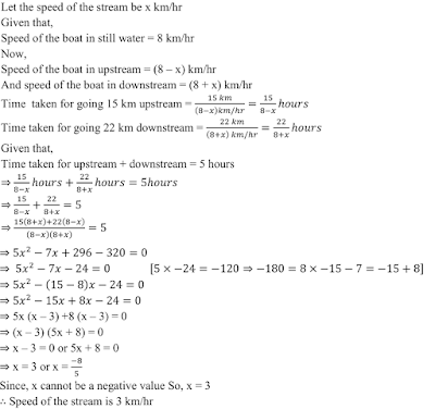
Rd Sharma Class 10 Solutions Chapter 9 Arithmetic Progressions Ex 9 3 Q1 Learn Cbse What Is Mathematics Pdf Download

Rd Sharma Solutions For Class 10 Chapter 4 Triangles Get Pdf What Is Mathematics Pdf Download

Chapter 11 Trigonometric Identities Rd Sharma Solutions For Class 10 Mathematics Cbse Topperlearning What Is Mathematics Pdf Download

Https Encrypted Tbn0 Gstatic Com Images Q Tbn 3aand9gct5fxshsr09azc 34qu2q37wlyfnfps B09oswwjppep3qajq1u Usqp Cau What Is Mathematics Pdf Download

Cbse class 10 mathematics is categorized into various important topics such as algebra geometry and trigonometry which are standing pillars of mathematics.

What is mathematics pdf download. To provide the best way to help students we have provided the rd sharma solution which can be looked upon anytime whenever any doubt arises. All the solutions of quadratic equations mathematics explained in detail by experts to help students prepare for their cbse exams. And rd sharma class 10 mathematics textbook is especially designed for students who come under cbse class 10.

This book is strong foundation in maths in every aspect. Rd sharma class 10 pdf maths book is designed for students who come under the central board of secondary education cbse. I find rd sharma too long and time consuming.

Can you suggest some way or some other book equally good and less time consuming. Rd sharma solutions for class 10 mathematics cbse 4 quadratic equations. Sharmas book for class 9 in 18 days.

As a cbse class 10 student you want all the important notes for your exam preparations including the rd sharma class 10 solutions for mathematics. Chapter 1 real numbers. Here mathematics is one of the key subjects that you need to master and vedantus rd sharma solution for class 10 math is the best way to do so.

Rd sharma class 10 solutions provide students an easy and effective approach to solve difficult mathematics questions. Rd sharma class 10 maths chapter 10 circles solutions. Rd sharma class 10 textbook 2019 is based on the latest syllabus prescribed as per the cce guidelines by cbse.

Cbse class 10 math rd sharma 2019 solutions are created by experts of the subject hence sure to prepare students to score well. Additionally problems including circle triangle and quadrilateral are tested in the exercise problems. Rd sharma class 10 solutions.

Given below is a detailed analysis of each chapter from rd sharma class 10 math. Rd sharma consists of all important concepts in a detailed way with many examples provided for each concept for better understanding of the students. The 10th chapter of rd sharma gives students the concepts of secant of a circle and tangent to a circle along with their properties.

Not only do these rd sharma 2019 solutions for class 10. Therefore the rd sharma solutions for class 10 maths that we provide are specifically designed to aid students simplify their exam preparation and score good marks in the exam. The questions provided in rd sharma 2019 books are prepared in accordance with cbse thus holding higher chances of appearing on cbse question papers.

Is studying rd sharma for maths class 10th board necessary.

R D Sharma Solutions Class 10th Ch 8 Quadratic Equations Exercise 8 8 What Is Mathematics Pdf Download

Rd Sharma Class 10 Maths Solutions Chapter 14 Coordinate Geometry What Is Mathematics Pdf Download

Rd Sharma Class 10 Solutions Chapter 12 Heights And Distances Pdf Download What Is Mathematics Pdf Download

Rd Sharma Class 10 Solutions 2019 Edition What Is Mathematics Pdf Download

More From What Is Mathematics Pdf Download